Supported options include classical Runge-Kutta schemes as well as a local time-stepping scheme introduced by Winters & Kopriva (2013). The convective fluxes are discretized using the HLLC flux, while the SIPG fluxes are used for the diffusive terms.
Inviscid flow around a cylinder
We study the inviscid flow around a cylinder at Mach 0.2. Here, we use curved second order elements in conjunction with a second order polynomial approximation. Even on this coarse grid consisting of 32x32 cells, the pressure contours are almost perfectly symmetrical, which is characteristic for subsonic flows around smooth obstacles.
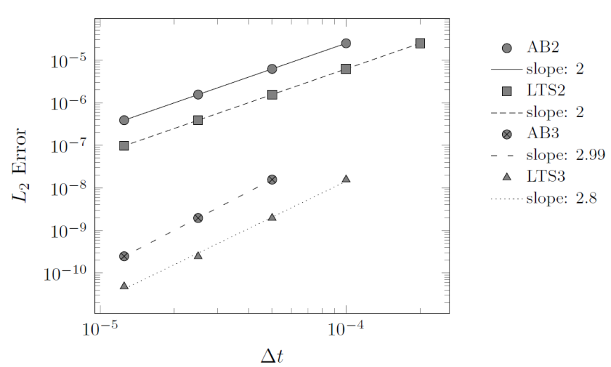
The scheme is verified with a time convergence study of an isentropic vortex. In the plot below, the time-step size Δt of the coarsest cluster is given for the LTS examples.
Typically, the isentropic vortex flow is considered for ideal gases. The solution can however be extended to more general equations of state like the covolume gas law
which imposes a maximum density
modeling the repellent intermolecular forces in highly compressed gases. The ideal gas law is recovered when the parameter b is set to zero. A particular solution for an isentropic vortex in such a covolume gas is given below.

Error on loading data
An error has occured when loading publications data from TUbiblio. Please try again later.
-
{{ year }}
-
; {{ creator.name.family }}, {{ creator.name.given }}{{ publication.title }}.
; {{ editor.name.family }}, {{ editor.name.given }} (eds.); ; {{ creator }} (Corporate Creator) ({{ publication.date.toString().substring(0,4) }}):
In: {{ publication.series }}, {{ publication.volume }}, In: {{ publication.book_title }}, In: {{ publication.publication }}, {{ publication.journal_volume}} ({{ publication.number }}), ppp. {{ publication.pagerange }}, {{ publication.place_of_pub }}, {{ publication.publisher }}, {{ publication.institution }}, {{ publication.event_title }}, {{ publication.event_location }}, {{ publication.event_dates }}, ISSN {{ publication.issn }}, e-ISSN {{ publication.eissn }}, ISBN {{ publication.isbn }}, DOI: {{ publication.doi.toString().replace('http://','').replace('https://','').replace('dx.doi.org/','').replace('doi.org/','').replace('doi.org','').replace("DOI: ", "").replace("doi:", "") }}, Official URL, {{ labels[publication.type]?labels[publication.type]:publication.type }}, {{ labels[publication.pub_sequence] }}, {{ labels[publication.doc_status] }} - […]
-
Number of items in this list: >{{ publicationsList.length }}
Only the {{publicationsList.length}} latest publications are displayed here.